Что такое компилятор

В этом гайде вы узнаете о том, что такое компилятор и как он работает. Мы разберем этапы компиляции и от чего зависит выбор подходящего компилятора. Этот материал поможет лучше понять, как компьютер выполняет программный код и почему иногда код не компилируется.
- Зачем нужен компилятор?
- Как работает компилятор?
- На чем написан компилятор?
- Какие бывают компиляторы?
- Какие ошибки может определить компилятор?
- Выводы и рекомендации
- Частые вопросы
- Дополнительные материалы
Зачем нужен компилятор?
Процессор — самая важная часть компьютера. Он обрабатывает информацию, выполняет команды пользователя и следит за работой всех подключенных устройств. Но процессор может разобрать только машинный код — набор 0 и 1, которые записаны в определённом порядке.
Почему именно 0 и 1? В процессор поступают электрические сигналы. Сильный сигнал обозначается цифрой 1, а слабый — 0. Набор таких цифр обозначает какую-то команду. Процессор ее распознает и выполняет.
Программы для первых компьютеров выглядели как огромные наборы 0 и 1. Чтобы записать такую программу, инженеры пользовались гибкими картонными карточками — перфокартами. Цифры на перфокарте записывались поочередно, в несколько строк. Чтобы записать 1, программист делал отверстие в карте. Места без отверстия обозначали 0.

Компьютер считывал перфокарту специальным устройством и выполнял записанную команду. Для одной программы составляли сотни перфокарт.
Писать их было долго и сложно, поэтому инженеры стали создавать языки программирования, обозначая команды словами и знаками. Для того, чтобы процессор понимал, какие команды записаны в программе, программисты создали компилятор — программу, которая преобразует программный код в машинный.
Как работает компилятор?
Преобразование программного кода в машинный называется компиляцией. Компиляция только преобразует код. Она не запускает его на исполнение. В этот момент он "статически" (то есть без запуска) транслируется в машинный код. Это сложный процесс, в котором сначала текст программы разбирается на части и анализируется, а затем генерируется код, понятный процессору.

Разберём этапы компиляции на примере вычисления периметра прямоугольника:
#include <iostream>
int main()
{
double a=2.5, b=5, P;
P = 2 * (a + b);
printf("Width of the rectangle - %4.1f", a);// => Width of the rectangle - 2.5
printf("\nLength of the rectangle - %4.1f", b);// => Length of the rectangle - 5.0
printf("\nPerimeter of the rectangle is %4.1f", P);// => Perimeter of the rectangle is 15.0
return 0;
}
После запуска программы компилятору нужно определить, какие команды в ней записаны. Сначала компилятор разделяет программу на слова и знаки — токены, и записывает их в список. Такой процесс называется лексическим анализом. Его главная задача — получить токены.
# include <iostream> int main ( ) { double a = 2.5 , b = 5 , P ; P = 2 * ( a + b ) ; printf ( " Width of the rectangle - % 4.1 f " , a ) ; printf ( " \ n Length of the rectangle - % 4.1 f " , b ) ; printf ( " \ n Perimeter of the rectangle is % 4.1 f " , P ) ; return 0 ; }
Затем компилятор читает список и ищет токен-операторы. Это могут быть оператор присваивания(=), арифметические операторы(+,-,*,/), оператор вывода(printf()) и другие операторы языка программирования. Такие операторы работают с числами, текстом и переменными.
Компилятор должен понять, какие токены в списке связаны с токен-оператором. Чтобы сделать это правильно, для каждого оператора строится специальная структура — логическое дерево или дерево разбора.
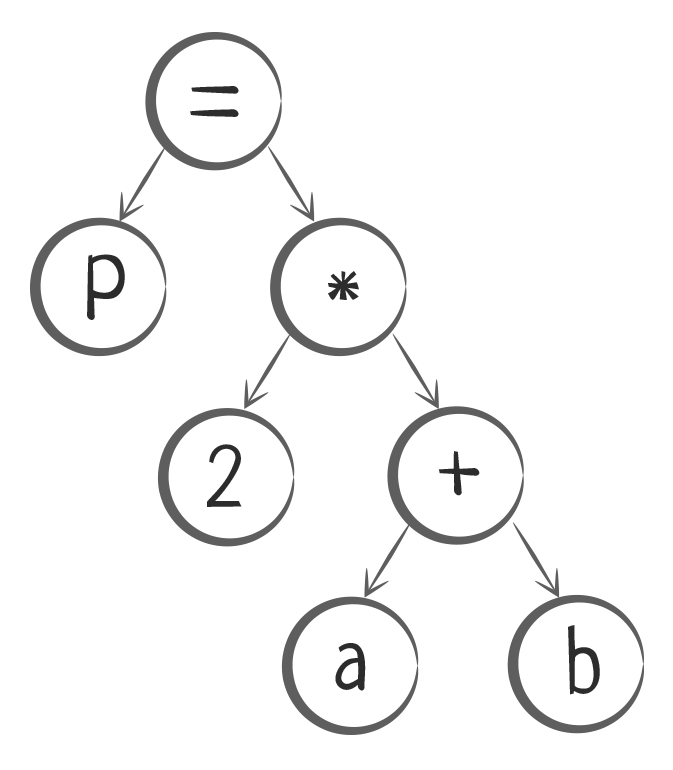
Так операция P = 2*(a + b) будет преобразована в логическое дерево:

Теперь каждое дерево нужно разобрать на команды, и каждую команду преобразовать в машинный код. Компилятор начинает читать дерево снизу вверх и составляет список команд:
- Взять переменную
a, взять переменнуюb, сложить их - Взять результат сложения, взять число
2и найти их произведение - Результат произведения присвоить (записать) в переменную
P
Компилятор еще раз проверяет команды, находит ошибки и старается улучшить код. При успешном завершении этого этапа, компилятор переводит каждую команду в набор 0 и 1. Наборы записываются в файл, который сможет прочитать и выполнить процессор.
10111011 00010001 00000001 10111001 00001101 00000000 10110100 00001110 10001010 00000111 01000011 11001101 00010000 11100010 11111001 11001101 00100000 01001000 01100101 01101100 01101100 01101111 00101100 00100000 01010111 01101111 01110010 01101100 01100100 00100001
На чем написан компилятор?
В 1950-е годы группа разработчиков IBM под руководством Джона Бэкуса разработала первый высокоуровневый язык программирования Fortran, который позволил писать программы на понятном человеку языке. Помимо языка, инженеры работали и над компилятором. Он представлял собой программу с набором исполняемых команд, которая могла компилировать другие программы на Fortran, в том числе и улучшенную версию себя.
В дальнейшем язык Fortran и его компилятор использовали, чтобы написать компиляторы для новых языков программирования. Такой подход используют программисты и в настоящее время.
Писать машинный код долго и неудобно. К тому же, для современных процессоров он может отличаться. Придется писать несколько версий одного и того же компилятора для разных компьютеров. Быстрее и проще написать компилятор на существующем языке программирования. Для этого разработчики выбирают удобный язык и пишут на нем первую версию своего компилятора. Он будет более универсальным для компьютеров и легко скомпилирует улучшенную версию себя.

Какие бывают компиляторы?
Ни один компилируемый язык программирования не обходится без компилятора. Некоторые компиляторы работают с несколькими языками программирования. Но программист должен учитывать еще и параметры компьютера, на котором программа будет запускаться.
Дело в том, что современные процессоры отличаются друг от друга устройством, поэтому машинный код для одного процессора будет понятен, а для другого нет. Это касается и операционных систем: одна и та же программа будет работать на Windows, но не запустится на Linux или MacOS. Поэтому нужно пользоваться тем компилятором, который работает с нужным процессором и операционной системой.
Если программа будет работать на нескольких операционных системах, то нужен кросс-компилятор — компилятор, который преобразует универсальный машинный код. Например, GNU Compiler Collection(сокращенно GCC) поддерживает C++, Objective-C, Java, Фортран, Ada, Go и поддерживает разную архитектуру процессоров.
Начинающие программисты даже не знают о наличии компилятора на компьютере. Они пишут программы в интегрированной среде разработки, в которую встроен компилятор, а иногда и не один. В этом случае, выбор компилятора делает среда, а не программист. Например, MS Visual Studio поддерживает компиляторы для операционных систем Windows, Linux, Android. Выбирая тип проекта, Visual Studio определяет процессор и операционную систему компьютера, и после этого выбирает подходящий компилятор.
Какие ошибки может определить компилятор?
Когда компилятор анализирует текст программы, он проверяет, соответствует ли запись оператора стандартам языка. Если найдено несоответствие, то компилятор выводит об этом информацию пользователю в виде ошибки. Когда вся программа разобрана, пользователь видит список ошибок, которые есть в коде, и может их исправить. Пока программист не исправит ошибки, компилятор не перейдет к следующему этапу — генерации машинного кода для процессора. Чаще всего компилятор показывает пользователю:
- ошибки объявления переменных или отсутствие их начальных значений
- ошибки несоответствия типов
- ошибки неправильной записи операторов и функций
Иногда компилятор определяет код, который при выполнении дает неправильный результат. Но преобразовать такую программу в машинный код все-таки можно. В этом случае компилятор показывает пользователю предупреждение. Такая реакция компилятора больше похожа на рекомендации, но на них стоит обратить внимание. Программист сам решает оставить код с предупреждением или изменить программу. Анализируя текст программы, компилятор не только ищет ошибки, но еще и упрощает ее код. Такой процесс называется оптимизацией. Во время оптимизации компилятор изменяет программный код, но функции, которые выполняла программа, остаются прежними.
Выводы и рекомендации
Компилятор — переводчик между программистом и процессором. Он преобразует текст программы в машинный код, определяет ряд ошибок в программе и оптимизирует ее работу. Выбирая, где компилировать программу, важно помнить о том, что машинный код для процессоров и операционных систем будет разным, и подобрать правильный компилятор. Чем точнее компилятор определит команды, тем корректнее и быстрее будет работать программа. Для этого следуйте простым рекомендациям:
- использовать простые, понятные команды;
- помнить о соответствии типов данных;
- внимательно набирать код, избегая синтаксических ошибок;
- избегать повторяющихся действий и бесполезных переменных.
Частые вопросы
Чем компилятор отличается от интерпретатора?
Компилятор это программа, которая выполняет преобразование текста программы в другое представление, обычно машинный код, без его запуска, статически. Затем эта программа уже может быть запущена на выполнение. Интерпретатор сразу запускает код и выполняет его в процессе чтения. Промежуточного этапа как в компиляции нет.